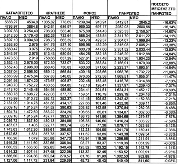
Οι αριθμοί και τα ποσοστα μπορουν να χρησιμοποιηθούν όπως θέλουμε εμείς. Η τσέπη μας ομως δεν θα γεμίσει αν παρουσιάσουμε ενα ποσοστο μειωσης στο πληρωτεό π.χ 6%.
Θα το πω με ενα απλο παραδειγμα για να γινει κατανοητό .
Ας υποθεσουμε οτι εχεις εισοδημα ΠΛΗΡΩΤΕΟ 1.200 ευρώ, αυτο
δηλαδη που πληρωνομαστε στην τραπεζα καθε μηνα. Το 2012 πληρωνομασταν
όμως και επιδομα αδειας και εορτων Πασχα και Χριστουγέννων,δηλαδη
πληρωτεο στην τραπεζα 860 ευρω (220+220 +420 ). Αν το επιμερισουμε στους
12 μηνες αντιστοιχεί 72 ευρω το μηνα. Πληρωνομασταν πχ και 132 ευρω Παγια Οδοιπορικα. Αρα συνολικα καθε μηνα πληρωνομασταν 1200+72+132. Συνολο 1404 ευρω.
Ηρθαν οι μειωσεις και βλεπουμε οτι στο ΠΛΗΡΩΤΕΟ ΕΙΣΟΔΗΜΑ, μονο απο
μειωση μισθών και επιδοματων (οχι των δωρων) οτι κατα μεσο ορο η απωλεια στο Πληρωτεο ειναι πχ 6%. Λες τι ωραια μειωση μονο 72 ευρω (6%*1200) και νιωθεις ικανοποιημενος με αυτα που ακουγες για 150 ευρω το μήνα και 10%.
Ειναι ετσι ομως τα πραγματα;. Τα δωρα που
κοπηκαν υπολογίζονται στο ποσοστό; Εμας μας ενδιαφερει τι πληρωνομαστε.
Αν κοπουν και τα οδοιπορικά ποση ειναι τελικά η μειωση;
Για να δωσουμε και την απαντηση θα το υπολογισουμε με δυο τροπους, όπως εγινε και με τους πινακες που αναρτησε η ΕΣΠΕΘ.
Παμε στον πρωτο τροπο:
Τα δωρα κοπηκαν αρα αν υποθεσουμε οτι μενουν αρχικά τα οδοιπορικα η
μειωση σε ποσοστο θα ειναι 1200 μειων 72 απο το 6% και μειων 72 απο τα
δωρα. Το εισοδημα σου τωρα ειναι 1128+132=1260 απο 1404. Μειωση 10,26% απο 6%.,
Συνεχιζουμε και με την προυποθεση να κοπουν τα οδοιπορικα (αγνοείτε η
τυχη τους απο τον Ιουλιο). Αρα το εισοδημα σου θα ειναι μονο 1128 ευρω
απο 1404, μειων δηλαδη 276 ευρώ. Ποσοστιαια μειωση 19,66%. Τελικα το 6% είναι 10,26 και μπορεί να γινει 19,66%.
συνέχεια στο espeth.blogspot.gr

Δεν υπάρχουν σχόλια:
Δημοσίευση σχολίου